Home | EndoTODAY | EndoATLAS

Beginner | ESA | Schedule | OPD

Seminars | Atlas | Recent | Links

EndoTODAY ³»½Ã°æ ±³½Ç

¼º±Õ°ü´ëÇб³ Àǰú´ëÇÐ ¹ßÀü±â±Ý ÈÄ¿ø


[EndoATLAS Index by ÀÌÁØÇà] - Hands-on Schedule (±³À°½Åû, ¢Ï 02-3410-0948), ðû

1. ³»½Ã°æ Ãѷаú ³»½Ã°æ¹è¿ì±â

2. ½Äµµ

3. À§¿°°ú À§±Ë¾ç

4. À§¾Ï°ú ¸²ÇÁÁ¾

5. ³»½Ã°æÁ¡¸·ÇϹڸ®¼ú ESD

6. ½ÊÀÌÁöÀå

7. ¼ÒÀå

8. ´ëÀå

9. Special

10. ¾ÈÀü

11. Compute & IT

12. Á¤Ã¥ À±¸®

13. ±âŸ others


EndoTODAY À§³»½Ã°æ »ðÀÔ°ú °üÂû (¹ß°£: 2022-1-10)


½ÄµµÁúȯ³»½Ã°æ¾ÆÆ²¶ó½º


À§Áúȯ³»½Ã°æ¾ÆÆ²¶ó½º


Case Reviews in Gastroenterology


1 Àå. ³»½Ã°æ Ãѷаú ³»½Ã°æ¹è¿ì±â. Introduction and learning endoscopy

1. ³»½Ã°æ »ðÀÔ¹ý°ú ±âº» ¼ú±â. Basic techniques

 ESA. EndoTODAY Simulation Academy 
 1. G-Boxim
 2. Col-BOXIM
 3. EndoGEL ESD
 4. Ex vivo pig stomach ESD 
 5. Live pig ESD
 6. EndoGEL POEM
 7. Stent
 8. EUS
 9. ERCP with cannulation
 10. Description exercise
 11. Sonography

1) EndoTODAY beginner course ³»½Ã°æ ¹è¿ì±â ÃʽÉÀÚ ±³½Ç

2) ³»°ú°è ¼ÒÈ­±â ¼ú±â ±³½Ç - ³»½Ã°æ ¹è¿ì±â´Â BOXIM workshop°ú DEX workshopÀ¸·Î ½ÃÀÛÇÒ ¼ö ÀÖ½À´Ï´Ù.

3) ³»½Ã°æ »ðÀÔ¹ý °­ÀÇ, ÇÕº´Áõ (õ°ø/õ°ø ÀÌ¿Ü), Endoscopic anatomy, ¼ú±â/»ðÀÔ¹ý FAQ

   ³»½Ã°æ Àâ´Â ¹ý°ú ¸ñ³Ñ±è

   À§ÀÇ °üÂû

   À§³»½Ã°æ »ðÀÔ¹ý°ú º´¼ÒÀÇ °üÂû

4) Simulator ÈÆ·Ã: SMC ³»½Ã°æ simulator ±³À° °æÇè°ú ¿ª»ç/Lubricant, SMC ESD animal model training °æÇè°ú ¿ª»ç, EndoGEL ESD hands-on training, Ex vivo pig stomach ESD, Live pig ESD

   Stepwise simulator training

5) Á¶Á÷°Ë»ç Biopsy - Á¶Á÷°Ë»ç °­ÀÇ, ¾Æ½ºÇǸ° aspirin, EndoTODAY ¾ÏÀ¸·Î ÀǷڵǾúÀ¸³ª Á¶Á÷°Ë»ç À½¼ºÀÎ °æ¿ì invisible cancer, Á¶Á÷°Ë»ç FAQ

   Á¶Á÷°Ë»ç

6) ESD training

7) ³»½Ã°æ ¹è¿ì±â - Áõ·Ê ¹× ÄûÁî ÇØ¼³

8) »õ·Î¿î ³»½Ã°æ Alternative endoscope - Pentax, Fujifilm, Olympus, FUSE, Karl Storz, Aohua

9) ³»½Ã°æ °íÀå°ú ±â±¸ °ü¸®. Management

   ³»½Ã°æÀÇ ÀÌÇØ¿Í ¿Ã¹Ù¸¥ °ü¸®

10) »ö¼Ò³»½Ã°æ Chromoendoscopy°ú Image enhanced endoscopy IEE (NBI, FICE, i-scan)

11) º´¼Ò Å©±â ÃøÁ¤ Measuring the size

12) ³»½Ã°æ »çÁø ÃÔ¿µ¹ý°ú ±×·¡ÇÈ À̹ÌÁö °ü¸® Endoscopic pictures and managment graphic images

   ³»½Ã°æ »çÁø ÃÔ¿µ¹ý

13) ³»½Ã°æ ¿ë¾î Terminology

14) ºÐ·ù¹ý ¸ðÀ½ Classifications

15) È®´ë³»½Ã°æ Magnifying endoscopy

16) Stent ½ºÅÙÆ®

17) À§³»½Ã°æ Áú°ü¸®, ÁúÁöÇ¥ Quality indicators of EGD. À§³»½Ã°æ °Ë»ç ½Ã°£

18) ´çÁ÷ ³»½Ã°æ°ú ÀÀ±Þ ³»½Ã°æ

19) ³»½Ã°æ ¹è¿ì±â. ÀÌ·± Àú·± »ý°¢

20) À§Àå°ü º´¸® Pathology

2. ³»½Ã°æ °Ë»ç ÀüÈÄ Áغñ

1) ÁøÁ¤ (¼ö¸é) ³»½Ã°æ Sedation - ÃʽÉÀÚ¸¦ À§ÇÑ ¿ä¾à

   ³»½Ã°æ ÁøÁ¤ °£È£

2) Ç×Ç÷¼ÒÆÇÁ¦ Antiplatelets

3) ³»½Ã°æ/Á¶Á÷°Ë»ç Àü ¾Æ½ºÇǸ°/Ç×Ç÷¼ÒÆÇÁ¦¸¦ ²÷À» °ÍÀΰ¡? Non-aspirin NSAIDs´Â ²÷¾î¾ß Çϳª¿ä?, A lecture on antithrombotics (2020)

4) ´ëÀå³»½Ã°æ/¿ëÁ¾ÀýÁ¦¼ú Àü ¾Æ½ºÇǸ°/Ç×Ç÷¼ÒÆÇÁ¦¸¦ ²÷À» °ÍÀΰ¡? Stopping antiplatelets before colonoscopy / polypectomy

5) ³»½Ã°æ °Ë»ç Àü ¿ÍÆÄ¸° Áß´Ü¿¡ ´ëÇÏ¿© Endoscopy for warfarin users, A lecture on antithrombotics (2020)

6) »õ·Î¿î Ç×ÀÀ°íÁ¦ New oral anticoagulant (NOAC)

7) Ç×Ç÷¼ÒÆÇÁ¦, Ç×ÀÀ°íÁ¦ Áß´Ü Áöħ (»ï¼º¼­¿ïº´¿ø 2011)

8) ¿¹¹æÀû Ç×»ýÁ¦ Antibiotics prophylaxis

9) °¨¿°°ú ³»½Ã°æ ¼Òµ¶ Infection and reprocessing endoscopes - CJD

   »ï¼º¼­¿ïº´¿ø ³»½Ã°æ ¼Òµ¶

10) Áø°æÁ¦ Antispasmodics (cimetropium-Algirong, Buscopan) - ±â¾ï»ó½Ç amnesia

11) Mucolytics

3. ¾ÈÀü°ú ÇÕº´Áõ. Safety and complications

1) °íÀ§ÇèȯÀÚ high risk patients - ÀӽŠpregnancy, õ½Ä, ºÎÁ¤¸Æ°ú pacemaker

   ±âÀúÁúȯ ¼ö°ËÀÚÀÇ °ËÁø³»½Ã°æ °ü¸®

2) õ°ø Perforation

3) ³»½Ã°æ µµÁß ¹ß»ýÇÑ Mallory-Weiss tear

4) ³»½Ã°æ½Ç¿¡¼­ÀÇ CPR

5) ³»½Ã°æ Ŭ¸³ Clip

6) ³»½Ã°æ ÀÇ»çÀÇ °íÀå Ergonomics and fitness

   ³»½Ã°æ ÀÇ»çÀÇ ±Ù°ñ°Ý°è ÀÌ»ó

7) Overtube


2 Àå. ½Äµµ. Esophagus

1. Ãʺ¸ÀÚ¸¦ À§ÇÑ ºñÁ¾¾ç¼º ½ÄµµÁúȯ summary

2. ½Äµµ¿°°ú À̹°. Esophagitis and foreign body

1) °áÇÙ¼º ½Äµµ¿° Tuberculous esophagitis

2) ½Äµµ Ä­µð´ÙÁõ Esophageal candidiasis

3) ¹ÙÀÌ·¯½º ½Äµµ¿° Viral esophagitis (CMV, herpetic)

4) È£»ê±¸ ½Äµµ¿° Eosinophilic esophagitis

5) ºÎ½Ä¼º ½Äµµ¿° Corrosive esophagitis

6) Esophageal melanocytosis

7) À§½Äµµ À̹° Foreign body

8) Sloughing esophagitis = esophagus dissecans superficialis, EDS

3. À§½Äµµ¿ª·ùÁúȯ. Gastroesophageal reflux disease (GERD)

1) À§½Äµµ¿ª·ùÁúȯÀÇ ³»½Ã°æ ¼Ò°ß Endoscopic findings of gastroesophageal reflux disease

2) À§½Äµµ¿ª·ùÁúȯ: GERD ÃÑ·Ð, PPI, proton pump inhibitor, PPI ºÎÀÛ¿ë, Refractory GERD, P-CAB (PCAB, tegoprazan, ÄÉÀÌĸ, K-CAB), FAQ

   °ø°³°­Á - ¿ª·ù¼º ½Äµµ¿°

3) ÀÌdz·Ä ±³¼ö´Ô Ư°­ - GERD and related conditions - with emphasis on refractory GERD

4) ¼ö¼úÀûÄ¡·á Laparoscopic antireflux surgery (LARS). º¹°­°æ Ç׿ª·ù¼ö¼ú

5) GERDÀÇ ³»½Ã°æ Ä¡·á¿Í Stretta

6) ¹Ì¼¼º¯È­ Minimal change

7) º¸ÃÊ¿ëÁ¾ Sentinel polyp

8) Hypomagnesemia due to PPI - Lemonade Legs

9) ¹«Áõ»ó ¿ª·ù¼º ½Äµµ¿° Asymptomatic reflux esophagitis

10) GERDTODAY - À§½Äµµ¿ª·ùÁúȯ Áõ·Ê ÅäÀÇ

4. ¹Ù·¿½Äµµ. Barrett's esophagus

1) ¹Ù·¿½Äµµ Barrett's esophagus - Á¾¼³ 2009

2) ¹Ù·¿½Äµµ¼±¾Ï Barrett's adenocarcinoma - °­ÀÇ·Ï 2015

3) FAQ on Barrett's esophagus

5. ½Äµµ¾Ï. Esophageal cancer

1) ½Äµµ¾ÏÀÇ Áø´Ü°ú Ä¡·á - ³»½Ã°æ Ä¡·á¸¦ Á¦¿ÜÇϰí

2) ¹Î¾ç¿ø ±³¼ö´Ô Ư°­ - ½Äµµ¾Ï Áø´Ü°ú Ä¡·áÀÇ ÃֽŠÁö°ß 2017-1-16

3) ½Äµµ¾Ï ³»½Ã°æ Áø´Ü

4) ½Äµµ¾Ï ³»½Ã°æ Ä¡·á

5) ½Äµµ¾Ï ³»½Ã°æ Ä¡·á ÈÄ ÇùÂø Stricture after esophageal ESD

6) ¹Ù·¿½Äµµ¼±¾Ï Barrett adenocarcinoma (ÁغñÁß)

7) ½Äµµ¾Ï ȯÀÚÀÇ ¸²ÇÁÀý ¸í¸í¹ý

8) Gastric tube cancer ½Äµµ¾Ï ÈÄ À§¾Ï

9) ½Äµµ¾Ï ¼ö¼ú ÈÄ ³»½Ã°æ ¼Ò°ß

6. ½Äµµ °Ô½Ç. Esophageal diverticulum

1) Zenker diverticulum Zenker °Ô½Ç

2) Killian-Jamieson diverticulum KJ °Ô½Ç

3) Áߺνĵµ °Ô½Ç Midesophageal diverticulum with/without anthracotic pigmentation

7. ±âŸ

1) EsoTODAY - ½Äµµ Áúȯ Áõ·Ê ÅäÀÇ

2) ³»½Ã°æÀ¸·Î º¸´Â ÀεΠÈĵΠº´¼Ò Laryngopharyngeal lesions. ÀÎÈĺΠº´¼Ò. ÇÏÀεΠº´¼Ò. Hypopharyngeal lesion

3) Hiatal hernia ½Äµµ¿­°øÅ»Àå

4) Acid pocket »êÁÖ¸Ó´Ï

5) ½Äµµ Á¤¸Æ·ù Esophageal varix

6) ´©°ø Esophageal fistula and EVAC for postoperative leak (sponge vacuum therapy)

7) ½ÄµµÀ̿ϺҴÉÁõ Achalasia and POEM (peroral endoscopic myotomy)

8) ½Äµµ ¾Ç¼º Èæ»öÁ¾. melanoma / Melanocytosis

9) ½Äµµ À¯µÎÁ¾ Esophageal papilloma

10) ½Äµµ SMT Esophageal SMT

11) Pill-induced esophagitis ¾àÁ¦¼º ½Äµµ¿°, ¾àÁ¦ À¯¹ß ½Äµµ¿°

12) ½Äµµ°ú¸³¼¼Æ÷Á¾ Granular cell tumor

13) ½Äµµ È­»ó Esophageal burn

14) À̼Ҽº À§Á¡¸· Heterotopic gastric mucosa. Inlet patch

14) À§½ÄµµÁ¢ÇպΠ¿­»ó Mallory-Weiss tear


3 Àå. À§¿°°ú À§±Ë¾ç. Gastritis and gastric ulcer (¾ç¼º À§Áúȯ. Benign diseases of the stomach)

1. À§ÀÇ ³»½Ã°æ ÇØºÎÇÐ Endoscopic anatomy of the stomach

1) Á¤»ó À§³»½Ã°æ Normal stomach

2) À§(êÖ)°Ô½Ç Gastric diverticulum

3) Situs inversus

4) Ç÷°üÀÌÇü¼ºÁõ Angiodysplasia

2. Ç︮ÄÚ¹ÚÅÍ Helicobacter pylori

1) Ç︮ÄÚ¹ÚÅÍ Áú¹®°ú ´äº¯ Helicobacter FAQ

2) Ç︮ÄÚ¹ÚÅÍ¿Í ±¹¹Î°Ç°­º¸Çè

   Ç︮ÄÚ¹ÚÅÍ¿Í À§¾Ï

3. ¸¸¼º À§¿° Chronic gastritis

»óºÎÀ§Àå°üÇ︮ÄÚ¹ÚÅÍÇÐȸÁö (2024) - 2022³â ´ÜÇົ

1) StomachTODAY - ¸¸¼º À§¿° ¹× ±âŸ À§Áúȯ Áõ·Ê ÅäÀÇ

2) À§¿° ³»½Ã°æ ºÐ·ù

   À§¿°

3) NSAID °ü·Ã À§Àå°ü ÇÕº´Áõ NSAID-associated gastroenteropathy

4) À§¸Åµ¶ Gastric syphilis

5) Mucormycosis

6) CMV gastritis

7) À§ ¾Æ¹Ð·ÎÀ̵µÁõ Gastric amyloidosis

8) À§Àå°ü ¹æ¼±±ÕÁõ Actinomycosis

9) ºñº­Áü Abrasion by endoscope

4. ¼ÒÈ­¼º ±Ë¾ç. Peptic ulcer

1) UlcerTODAY -¼ÒÈ­¼º ±Ë¾ç Áõ·Ê ÅäÀÇ

2) ¼ÒÈ­¼º ±Ë¾ç Peptic ulcer

3) ÃâÇ÷¼º ±Ë¾ç Peptic ulcer bleeding - ÃâÇ÷ Ä¡·á

4) ºÒÀÀ¼º ±Ë¾ç Refractory ulcer

5. ¿ëÁ¾/¾ç¼ºÁ¾¾ç/Á¡¸·ÇÏÁ¾¾ç

1) À§ ¿ëÁ¾ Polyps / À§Àú¼± ¿ëÁ¾ Fundic gland polyp

2) ºñÀüÇüÀû Atypical

3) ¼±Á¾/ÀÌÇü¼º Adenoma/dysplasia

   ¼±Á¾ adenoma

4) ½Å°æÃÊÁ¾ Schwannoma

5) ¿ÜºÎ ¾Ð¹Ú Extrinsic compression

6) À̼Ҽº ÃéÀå Ectopic pancreas

7) °£Áú¼º Á¾¾ç Gastrointestinal stromal tumor (GIST)

8) À§Á¡¸·ÇÏÁ¾¾ç Gastric submucosal tumor (SMT) / FAQ on SMT

9) À§ ½Å°æ³»ºÐºñÁ¾¾ç Gastric neuroendocrine tumor including carcinoid (À¯¾ÏÁ¾)

10) Ȳ»öÁ¾ Xanthoma

11) Áö¹æÁ¾ lipoma

6. À§¼® Bezoar

7. ³ë·ÉÀÚ À§º´Áõ Aging gastropathy

8. À§·ç¼ú Percutaneous endoscopic gastrostomy PEG / Endoscopic nasogastric tube insertion

9. ±â´É¼º ¼ÒÈ­ºÒ·®Áõ functional dyspepsia (FD) - ¼ÒÈ­±â¾à¹° À¥¼¼¹Ì³ª 2024 (°ü¸®ÀÚ Àü¿ë)

10. Gastric varix À§ Á¤¸Æ·ù


4 Àå. À§¾Ï°ú ¸²ÇÁÁ¾. Gastric cancer and lymphoma

[À§¾Ï ¿ªÇÐ. epidemiology] - ±¹°¡¾ÏÁ¤º¸¼¾ÅÍ

AJCC 8ÆÇ À§¾Ï º´±â

¸î ³â »çÀÌ¿¡ ¿ì¸®³ª¶óÀÇ À§¾Ï ¹ß»ý·üÀÌ Áٸ鼭 ¼¼°è ¼øÀ§µµ ³²³à ¸ðµÎ 3À§°¡ µÇ¾ú½À´Ï´Ù. ±×·¯³ª »ç¸Á·üÀº ÇÑÂü µÚÀÔ´Ï´Ù. µî¼ö ¹ÛÀÔ´Ï´Ù. (eClinicalMedicine 2022)

https://gco.iarc.fr(accessed 20230319) ¾ÆÁ÷ ¹ß»ý·üÀº ³ôÁö¸¸ »ç¸Á·üÀº ¼¼°è ÃÖÀúÀÔ´Ï´Ù.

Age-standardized gastric cancer mortality in Korea

¾Ï¹ß»ý·ü (2022) - https://www.cancer.go.kr/lay1/S1T639C641/contents.do

¿¬·Éº° ³²ÀÚ ¾Ï¹ß»ý·ü (2022)

¿¬·Éº° ¿©ÀÚ ¾Ï¹ß»ý·ü (2022)

À§¾Ï ¹ß»ý·ü ÃßÀÌ - µ¥ÀÌŸ·Î º¸´Â ¾Ï¹ß»ýµ¿Çâ º¸°í¼­ (2025, PDF)

¾Ï»ç¸Á·ü (2022) - https://www.cancer.go.kr/lay1/S1T645C646/contents.do

¾Ï¹ß»ýÈ®·ü (2020)

Age specific incidence in 2022. Cancer Res Treat 2025

Age standardized incidence. Cancer Res Treat 2025

Age standardized mortality. Cancer Res Treat 2025

Screening rate. Cancer Res Treat 2025

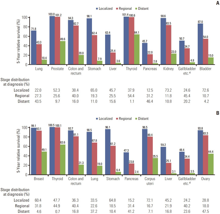
Five year relative survival. Cancer Res Treat 2025

Prevalent cases on 2023-1-1. Cancer Res Treat 2025

SCCC ¾ÏÁ¾ ¹× º´¸®º° »ýÁ¸À²

SCCC 5³â »ó´ë »ýÁ¸À²

ÀúÈñ ±â°üÀÇ À§¾Ï ȯÀÚ ¿¬·Éº° ºÐÆ÷¿¡¼­ 40¼¼ ¹Ì¸¸ÀÌ ¾à 2.6% Á¤µµ¿´½À´Ï´Ù. °ú°Å¿¡ ºñÇÏ¿© 40¼¼ ¹Ì¸¸ÀÇ ºñÀ²ÀÌ ¾à°£ ÁÙ°í ÀÖ½À´Ï´Ù. ÀÌÀ¯´Â ¸íÈ®ÇÏÁö ¾ÊÁö¸¸ (1) °í·ÉÈ­ (2) ÀþÀº ¿¬·ÉÀÇ À§¾Ï ¹ß»ý·ü °¨¼ÒÀÇ °á°ú·Î ÃßÁ¤µË´Ï´Ù. Age-adjusted data´Â ¾Æ´Õ´Ï´Ù.

4Â÷ À§¾ÏÀûÁ¤¼ºÆò°¡ (2017³â ÀÚ·á 2019³â ¹ßÇ¥)

5Â÷ À§¾ÏÀûÁ¤¼ºÆò°¡ (2019³â ÀÚ·á 2021³â ¹ßÇ¥)

2ÁÖ±â 1Â÷ ½ÉÆò¿ø À§¾Ï Æò°¡ °á°ú (2022³â ÀÚ·á 2024³â ¹ßÇ¥)

2024 »ç¸Á¿øÀÎ ¼øÀ§

2024 ¿¬·Éº´ 5´ë »ç¸Á¿øÀÎ

2025 SMC À§¾Ï center

[À§¾Ï °¡À̵å¶óÀÎ ¸ðÀ½]

Lymph node stations

Work up and initial treatment (KGCA À§¾Ï°¡À̵å¶óÀÎ 2022)

Surgery for gastric cancer (KGCA À§¾Ï°¡À̵å¶óÀÎ 2022)

1. À§¾ÏÀÇ ³»½Ã°æ Áø´Ü

¼ÒÈ­±â³»°ú ºÐ°úÀü¹®ÀÇ ¿¬¼ö±³À° (2017)

Á¶±âÀ§¾ÏÀÇ ³»½Ã°æ Áø´Ü (±è±¤ÇÏ 2022)

1) À§¾ÏÀ» ³õÄ¡Áö ¾Ê´Â ³»½Ã°æ

2) À§¾Ï 1000

3) Á¶±âÀ§¾Ï ³»½Ã°æ ºÐ·ù Early gastric cancer (EGC)- Á¶±âÀ§¾Ï ³»½Ã°æ¾ÆÆ²¶ó½º

4) ÁøÇ༺À§¾Ï Advanced gastric cancer (AGC)

5) º¸¸¸ 4Çü ÁøÇ༺ À§¾Ï Borrmann type IV - In depth analysis º¸¸¸ 4Çü ÁøÇ༺ À§¾Ï À§³»½Ã°æ ¾ÆÆ²¶ó½º (PDF)

6) ÀÜÀ§ º¸¸¸ 4Çü ÁøÇ༺ À§¾Ï Borrmann type IV gastric cancer of the remnant stomach

7) ¹Ì¼ÒÀ§¾Ï Minute gastric cancer

8) À§¾Ï ¼ö¼ú ÈÄ ³»½Ã°æ ¼Ò°ß Postopertive

9) À§½ÄµµÁ¢ÇÕºÎ¾Ï Gastroesophageal junction (GEJ) cancer

10) Gastric tube cancer ½Äµµ¾Ï ÈÄ À§¾Ï

11) ¾Ï°ËÁø Cancer Screening - Short abstract on gastric cancer screening in Korea

2021³â ±â´ë¿©¸íÇ¥

2. ´Ù¾çÇÑ À§¾Ï

1) ¹ÝÁö¼¼Æ÷¾Ï Signet ring cell carcinoma

2) Á¡¾×¼º À§¾Ï Mucinous gastric cancer

3) ÀÜÀ§¾Ï Remnant gastric cancer

4) À§ÀüÀÌ Gastric metastasis

5) ÀþÀº ȯÀÚ À§¾Ï Young patients

6) °í·É À§¾Ï Gastric cancer in the elderly

7) PET in stomach cancer

8) Hp negative gastric cancer Ç︮ÄÚ¹ÚÅÍ À½¼º À§¾Ï

9) EBV-associated gastric cancer EBV-¿¬°ü À§¾Ï

10) Papillary adenocarcinoma

11) À¯Àü¼º À§¾Ï Hereditary gastric cancer

12) Lymphoepithelioma-like carcinoma (LELC), adenocarcinoma with lymphoid stroma

13) Ç︮ÄÚ¹Ú´õ Á¦±Õ ÈÄ ¹ß»ýÇÏ´Â À§¾Ï Gastric cancer after eradication (GCAE)

3. À§¾ÏÀÇ º´¸® Pathology of stomach cancer

1) À§¾Ï ºÐÈ­µµ Differentiation

2) Undifferentiated type ¹ÌºÐÈ­Á¶Á÷ÇüÀ̶ó´Â ¿ë¾î¿¡ ´ëÇÏ¿©

3) ºñÀüÇüÀû »ù/¼¼Æ÷ Atypical glands and cells

4) À§¾Ï º´±â Staging

4. À§¾ÏÀÇ Áø´Ü°ú Ä¡·á

1) À§¾Ï °¡À̵å¶óÀÎ Korean gastric cancer guideline

2) ¹Ì±¹¾ÏÇÐȸ ȯÀÚ¼³¸í¼­ (2014)

3) À§¾ÏÀÇ Ä§À±±íÀÌ Depth of invasion (½É´Þµµ)

4) ±ÙÀ§ À§ÀýÁ¦¼ú Proximal gastrectomy

5) ¼ö¼ú ÈÄ ºóÇ÷ ¹× ¿µ¾ç°ü¸® Anemia an nutrition

6) Abdominal lymph node stations in CT

7) º¹ºÎ CT protocols (¿µ»óÀÇÇаú ¼Û°æµÎ)

8) 2016³â NCCN °¡À̵å¶óÀÎ

9) À§¾Ï 4Â÷ ÀûÁ¤¼º Æò°¡ °á°ú stage Ia ȯÀÚ¿¡¼­ ³»½Ã°æ ÀýÁ¦¼úÀÌ 45.2% ½ÃÇàµÇ¾ú½À´Ï´Ù.

10) À§¾Ï Áø´Ü°ú Ä¡·á FAQ

À§¾Ï ¼ö¼ú ÈÄ ¼ºÀû

11) Ç׾Ͽä¹ýÀ» ÇÏÁö ¾Ê´Â Àǻ縦 À§ÇÑ Ç׾Ͽä¹ý Chemotherapy for gastric cancer

5. À§Àå°ü ¸²ÇÁÁ¾

1) À§ diffuse large B cell lymphoma À§ B¼¼Æ÷ ¸²ÇÁÁ¾ - À§ DLBLÀÇ ³»½Ã°æ ¼Ò°ß (DLBCL, DLBL)

2) MALToma ¸»Æ®¸²ÇÁÁ¾ - MALToma ³»½Ã°æ ¼Ò°ß

À»Áö´ëÇб³ ¼º°á - MALToma symposium (2022)

3) Mantle cell lymphoma

4) Peripheral T cell lymphoma (PTCL)

5) NK T-cell lymphoma

6) Burkitt lymphoma ¹öŶ ¸²ÇÁÁ¾

7) Primary gastric lymphoblastic lymphoma


5 Àå. ³»½Ã°æÁ¡¸·ÇϹڸ®¼ú. Endoscopic submucosal dissection (ESD)

»ï¼º¼­¿ïº´¿ø¿¡¼­´Â 2024³â ÀÇÁ¤»çűⰣÀÓ¿¡µµ ºÒ±¸Çϰí gastric ESD 876¿¹¸¦ ½ÃÇàÇÏ¿´½À´Ï´Ù. ±× Áß EGC°¡ 673¿¹, pathological complete resectionÀÌ 585¿¹(87%)¿´½À´Ï´Ù.

* One week ESD training course for foreigners at SMC

Volume of ESD for EGC in Korea.

2019-4-11.

2020³â Á¶±âÀ§Àå°ü¾Ï ³»½Ã°æ Ä¡·á ÀÓ»óÁø·áÁöħ

Ball-knife EndoGEL ESD (7¹è¼Ó)

SMCÀÇ Á¶±âÀ§¾Ï ESD

1. µµÀÔ. Introduction to ESD

1) Learning ESD ESD ¹è¿ì±â. ESD ±³À°. ESD training

2) How I do it - ESD by Lee Jun Haeng

3) Á¶±âÀ§¾Ï ³»½Ã°æÄ¡·áÀÇ Ãֱ٠dz°æ (2014)

4) ESD animal model training °æÇè°ú ¿ª»ç

5) ESD¿¡ ´ëÇÑ º´½Ç °£È£»ç °£´ãȸ

6) »ï¼º¼­¿ïº´¿ø ESD - »ï¼º¼­¿ïº´¿ø Àü°øÀÇ ±³À°ÀÚ·á

2. ÀûÀÀÁõ. Indications

1) ESD¿¡ ´ëÇÑ Á¤ºÎ ±âÁØ: 2012³â ±âÁØ, 2018³â 11¿ù ±âÁØ - ¹ÌºÐÈ­ Á¶Á÷Çü À§¾ÏÀÇ ESD°¡ Àü¸éÀûÀ¸·Î ºÒ¹ýÀÌ µÇ¾ú½À´Ï´Ù. ¾ÈŸ±õÁö¸¸ ºÒ¹ý Áø·á¸¦ ÇÒ ¼ö´Â ¾ø½À´Ï´Ù. ´ëÇѹα¹ ±¹¹ÎÀº ´ëÇѹα¹ÀÇ ¹ýÀ» µû¶ó¾ß Çϴϱî¿ä. ȯÀÚµµ ±¹¹ÎÀ̰í Àǻ絵 ±¹¹ÎÀÔ´Ï´Ù.

2) È®´ëÀûÀÀÁõ Expanded indication or criteria

3) È®´ëÀûÀÀÁõ Ãʰú º´¼Ò Beyond expanded indication

4) Á¶±âÀ§¾Ï ¸²ÇÁÀý ÀüÀÌ À§Çè Risk of LN metastasis

5) È®´ëÀûÀÀÁõ Á¶±âÀ§¾ÏÀÇ ¸²ÇÁÀý ÀüÀÌ À§Çè Risk of LN metastasis in expanded indication cases

6) °íµµÀÌÇü¼º ESD ESD for high grade dysplasia

7) ESD °ü·Ã º¸Çè ±Þ¿©

8) Diagnostic group classification - pretreatment and posttreatment pathologic discrepancy. ESD ÀüÈÄ º´¸® °á°úÀÇ Â÷ÀÌ

3. More about histology

1) Undifferentiated¶ó´Â ¿ë¾î¿¡ ´ëÇÏ¿© (¹ÌºÐÈ­)

Á¶±âÀ§¾Ï ³»½Ã°æ Ä¡·á ÈÄ º´¸®ÇÐÀû Æò°¡ (2017. ÀÎÁ¦ÀÇ´ë º´¸®°ú ÁÖ¹Ì) °­ÀÇ µ¿¿µ»ó

2) Undifferentiated-type Á¶±âÀ§¾ÏÀÇ ¸²ÇÁÀý ÀüÀÌ À§Çè

3) È®´ëÀûÀÀÁõ¿¡ undifferentited-typeÀÌ Æ÷ÇԵǴ°¡?

4) ESD for EGC with undifferentiated histology (Lecture note at IDEN 2016)

5) Histological heterogeneity. Mixed ¹ÌºÐÈ­ È¥Àç¾Ï

6) Ulcer or ulceration in ESD ±Ë¾ç

4. ¼ú±â. Techniques

1) õ±â´©¼³ (Tips for ESD)

2) °íÁÖÆÄÀü·ù¹ß»ýÀåÄ¡ Electrosurgical unit (ESU) - VIO300D¸¦ Áß½ÉÀ¸·Î

3) ESD Àü EUS´Â À¯¿ëÇѰ¡? No.

4) ESD Àü Áغñ»çÇ× - ESD¸¦ À§ÇØ ÀÇ·ÚµÈ È¯ÀÚ¿¡¼­ Àç°ËÀ» ÇÒ °ÍÀΰ¡?, Preop lab. °íÀ§Çè ȯÀÚ

5) 2014³â ESD ½Ã¼ú°úÁ¤ ¼³¸í

6) Additional treatments after ESD Ãß°¡ Ä¡·á

7) ÀýÁ¦Ç¥º»ÀÇ Å©±â ÃøÁ¤

8) Á¤ÀÇ: complete resection, curative resection

9) APC (argon plasma coagulation)

10) Hands-on training during JDDW2015

11) Endoscopic full thickness resection (EFTR)

12) ESD ÈÄ ³»½Ã°æ ¼Ò°ß Endoscopic findings after ESD

13) EndoGEL ESD hands-on training

5. ÇÕº´Áõ. Complications

1) ESD ÇÕº´Áõ, SAFE trial - second look endoscopy after ESD

2) õ°ø Perforation, Áö¿¬ õ°ø (delayed perforation), Neoveil

3) ¹Ì¼¼Ãµ°ø Microperforation

4) ÃâÇ÷ Bleeding - Is second-look endoscopy necessary? (SLE)

5) ÇùÂø Stricture after gastric ESD

6) ÅëÁõ Pain

7) µå¹® ÇÕº´Áõ - ESD·Î ÀÎÇÑ »ç¸Á

6. º´¸®¿Í ESD ÈÄ °ü¸®. Pathology and management after ESD

1) ³»½Ã°æÀýÁ¦ÀÇ À§¾Ïº´¸® - ¾î¶»°Ô ÆÇµ¶Çϳª? ±è°æ¹Ì. ´ëÇѼÒÈ­±â³»½Ã°æÇÐȸÁö 2021:56:214

2) Á¡¸·ÇÏ Ä§À± Submucosal invasion

3) ÀýÁ¦º¯¿¬ ¾ç¼º Lateral margin positive

4) ¸²ÇÁ¼± ħÀ± Lymphatic involvement in ESD specimen

5) Nonneoplastic pathology after ESD

6) ESD °ü·Ã ÁúÁöÇ¥

7. Àå±â ¼ºÀû. Longterm outcome after ESD

1) ÃßÀû°üÂû¿¡ ´ëÇÏ¿© On follow-up

2) À§ ESD ÈÄ ³»½Ã°æ ¼Ò°ß

3) ESD ÀÚ·á ºÐ¼® ±âÁØ ½ÃÁ¡¿¡ ´ëÇÏ¿©

4) ¿ÏÀüÀýÁ¦ ÈÄ Àå±â ¼ºÀû Longterm follow up after curative resection

5) ºÒ¿ÏÀüÀýÁ¦ ÈÄ Àå±â ¼ºÀû - ¼ö¼úÀ» Áß½ÉÀ¸·Î Surgical treatment for noncurative resection

6) Introduction to longterm outcome (lecture note in English)

7) Quality of life after ESD Á¶±âÀ§¾Ï ³»½Ã°æÄ¡·á ÈÄ »îÀÇ Áú

8) ±¹¼Ò Àç¹ß Local recurrence after endoscopic resection of EGC

9) À̽üº À§¾Ï°ú µ¿½Ã¼º À§¾Ï Metachronous gastric cancer and synchronous gastric cancer after ESD

10) À§¿Ü Àç¹ß / ¹®Çå Áõ·Ê Extragastric recurrences

11) ESD¿Í ¼ö¼úÀÇ ºñ±³

12) ¿ì¸®³ª¶ó Á¶±âÀ§¾Ï ³»½Ã°æ ÀýÁ¦ ÈÄ Àå±âÀûÀÎ ÀÓ»ó °á°ú (Á¾¼³. ´ëÇÑ»óºÎÀ§Àå°üÇ︮ÄÚ¹ÚÅÍÇÐȸÁö 2016)


6Àå. ½ÊÀÌÁöÀå Duodenum

1. SmallTODAY - ½ÊÀÌÁöÀå/¼ÒÀå Áúȯ Áõ·Ê ÅäÀÇ

2. EndoTODAY ½ÊÀÌÁöÀå ±Ë¾ç Duodenal ulcer

3. ½ÊÀÌÁöÀåÀÇ À̼Ҽº À§Á¡¸· Heterotopic gastric mucosa in the duodenum

4. ¸²ÇÁ°üÈ®ÀåÁõ Lymphangiectasia/lymphangioma

5. Henoch Schonlein purpura

6. Brunner's gland hyperplasia ºê·ç³Ê»ù °úÇü¼º. ºÎ·ç³Ê»ù °úÇü¼º.

7 ½ÊÀÌÁöÀå Á¡¸·ÇÏÁ¾¾ç Duodenal submucosal tumor (SMT) - ÀÛ¼ºÁß

8. ½ÊÀÌÁöÀå ¼±Á¾ Duodenal adenoma

9. ½ÊÀÌÁöÀå¾Ï Duodenal cancer

10. ½ÊÀÌÁöÀå Ä«¸£½Ã³ëÀ̵å Duodenal neuroendocrine tumor including carcinoid (½ÊÀÌÁöÀå À¯¾ÏÁ¾)

11. Duodenal follicular lymphoma ½ÊÀÌÁöÀå¼ÒÆ÷¸²ÇÁÁ¾

12. Extragastric MALToma

13. À¯µÎºÎ ¼±Á¾°ú ¾Ï Ampullary adenoma and adenocarcinoma

14. ½ÊÀÌÁöÀå °Ô½Ç Duodenal diverticulum

15. ½ÊÀÌÁöÀå Á¤¸Æ·ù Duodenal varix

16. ½ÊÀÌÁöÀå ÀüÀÌ Duodenal metastasis


7Àå. ¼ÒÀå. Small intestion

1. SmallTODAY - ½ÊÀÌÁöÀå/¼ÒÀå Áúȯ Áõ·Ê ÅäÀÇ

2. Obscure GI bleeding

3. Celiac disease and gluten sensitivity

4. Capsule endoscopy. ĸ½¶³»½Ã°æ

5. Microbiota and small intestinal bacterial overgrowth (SIBO)

6. Lymphangiectasia ¸²ÇÁ°üÈ®ÀåÁõ


8Àå. ´ëÀå Áúȯ. Colon.

1. ´ëÀå³»½Ã°æ »ðÀÔ¹ý°ú Col-BOXIM

2. Bowel preparation for colonoscopy ÀåÁ¤°á

3. ColonTODAY ´ëÀå Áúȯ Áõ·Ê ÅäÀÇ

4. ´ëÀå¿ëÁ¾ÀýÁ¦¼ú À嵿°æ ±³¼ö´Ô Ư°­ Colon polypectomy by DKC

5. ¿°Áõ¼º ÀåÁúȯ Inflammatory bowel disease (IBD), ulcerative colitis (UC), Crohn's disease (CD)

6. °¡Á·¼º ¼±Á¾¼º ¿ëÁ¾Áõ Familial adenomatous polyposis (FAP) - µ¿¿µ»ó °­ÀÇ

7. HNPCC (Lynch syndrome)

8. °áÇÙ¼º À§ÀåÁúȯ Gastrointestinal tuberculosis

9. ´ëÀå À¯¾ÏÁ¾ Colorectal neuroendocrine tumor including rectal carcinoid

10. Serrated adenoma of the colon

11. Clostridium difficile infection (pseudomembraneous colitis)

12. Áõ·Ê·Î Ç®¾îº¸´Â ´ëÀå³»½Ã°æ º¸Çè û±¸ÀÇ ½ÇÁ¦ - 2015³â ³»½Ã°æ¼¼¹Ì³ª ¿¬¼¼¹Ì¼Ò³»°ú ³²ÁØ½Ä ¿øÀå. PDF 0.7M

13. Cowden ÁõÈıº

14. Peutz-Jeghers syndrome (PJS) Æ÷ÀÌÃ÷-¿¹°Å ÁõÈıº

15. Colonic diverticulum - ±Þ¼º °Ô½Ç¿°°ú °Ô½Ç ÃâÇ÷ Acute diverticulitis and diverticular bleeding

16. Ç×¹® Anus. Anal diseases

17. À§Àå°ü Àڱ󻸷Áõ GI endometriosis

18. °ú¹Î¼º ÀåÁõÈıº Irritable bowel syndrome (IBS)

19. º¯ºñ Constipation

20. °¨¿°¼º ¼³»ç Infectious colitis

21. Quality (indicators) of colonoscopy ´ëÀå³»½Ã°æ Áú°ü¸®, ÁúÁöÇ¥

22. ´ëÀå ÀüÀÌ Colon metastatis, ÀåÀüÀÌ

23. ÇãÇ÷¼º Àå¿° Ischemic colitis

24. ´ëÀåĸ½¶³»½Ã°æ Colon capsule endoscopy


9 Àå. EndoTODAY Special

1. ¿Â¶óÀÎ ¼¼¹Ì³ª On-line seminars

2. EndoTODAY Live ½Ç½Ã°£ °­ÀÇ 2020

3. ±â»ýÃæ Parasites

4. ¿Ü·¡¼³¸íÀÚ·á Outpatient Clinic

5. Àü¹®°¡µéÀÇ ±íÀÌÀÖ´Â ¼ö´Ù Hot discussions on various issues

6. ÀÇÇÐÅë°è Medical Statistics

7. ÀÌÁØÇà Áø·á ºñ¹ý ´ë°ø°³ Tips for patient care

8. ¿µ¾ç Nutrition

9. ºñ¸¸ Obesity

10. Dr. Sinn's LiverTODAY

11. ¾Öµ¶ÀÚ Áõ·Ê ÆíÁö Alumni corner


10 Àå. ¾ÈÀü. Safety

1. Quality officer 5³âÀ» ¸¶Ä¡¸é¼­ - ¾ÈÀü¿¡ ´ëÇÏ¿©

2. ȯÀÚ¾ÈÀü Patient safety

3. ȯÀÚ¾ÈÀü, 80½Ã°£, Hospitalist 80 hours, Hospitalist

4. ±Ùº»¿øÀκм® Root cause analysis

5. ȯÀÚÁß½ÉÁø·á Patient-centered

6. ¹æ»ç¼± À§ÇØ Radiation hazards

7. Critical value report (CVR)

8. ¹æ¿ª´ëÀåÀ» ¸¶Ä¡¸ç (2015/6/28 - 2015/7/17)

9. Äڷγª. Covid 19


11 Àå. Computer & IT

1. EndoTODAY´Â ÀÌ·¸°Ô ¸¸µé¾îÁø´Ù

2. °­ÀÇ¿Í ³í¹®À» À§ÇÑ ±×·¡ÇÈ À̹ÌÁö °ü¸® Graphic image management (Table and Figure)

3. ÆÄ¿öÆ÷ÀÎÆ® À߸¸µé±â Preparing PowerPoint Presentation

4. ½º¸¶Æ®Æù ÀÇÇÐ Smartphone medicine

5. IT, mobile and medicine ÀÇÇп¡¼­ IT Ȱ¿ë

6. Presentation. °­ÀÇ¿Í ¹ßÇ¥, ÇÐȸ ¹ßÇ¥ checklist WORD ¹®¼­


12 Àå. Á¤Ã¥/À±¸®. Policy and ethics

1. ÄÚµå code, FAQ on code

2. º¸Çè Insurance

3. ±¹¹Î°Ç°­º¸Çè - ±Þ¿©/ºñ±Þ¿©, »êÁ¤Æ¯·Ê

4. Áø·á ³»¿ëÀ» ³ìÀ½ÇÏ´Â ºÐµé¿¡ ´ëÇÏ¿©

5. ¿¬±¸ ´Ü»ó - ¿¬±¸¿¡ ´ëÇÏ¿©. ±× °øÁ¤¼º°ú ºÒ°øÁ¤¼º¿¡ ´ëÇÏ¿©

6. ÀÇ·áÀÇ Áú (òõ, quality)

7. ¿Ü·¡¿¡¼­ ¸¸³¯ ¼ö ÀÖ´Â ¿©·¯ »óȲ - ÄÚµå, º¸Çè, Áø´Ü¼­¿Í Áø´ÜÀÏ, Àǹ«±â·Ï °íÄ¡±â, suggestive µî

8. À±¸®, ¸®º£ÀÌÆ®, ±è¿µ¶õ¹ý

9. ÃâÆÇ À±¸® Publication ethics

10. Çмú¸ðÀÓ/ÇÐȸ¿¡ ´ëÇÑ ´Ü»ó Conference, Áý´ãȸ

11. °¡À̵å¶óÀÎ Guideline


13 Àå. ±âŸ. Others

1. ¸ÂÃã¹ý Spelling

2. ÀÇÇÐ ¿µ¾î Medical English

3. Practical English for endoscopists ³»½Ã°æ Àǻ縦 À§ÇÑ ¿µ¾î Ç¥Çö (»ï¼º¼­¿ïº´¿ø ±¹Á¦Áø·á¼¾ÅÍ ±èÁö¿î ±³¼ö´Ô)

4. Evidence-based medicine EBM ±Ù°Å±â¹ÝÀÇÇÐ

5. Enhanced recovery after surgery ERAS

6. One point lesson

7. ¸ñ¿äÁý´ãȸ 2018³â 8¿ù±îÁöÀÇ ±â·Ï

8. ¿À´ÃÀÇ Áõ·Ê - 2008, 2009, 2010³âÀÇ ±â·Ï. ¾ÏÈ£´Â smcgiÀÔ´Ï´Ù.

9. Endoscopy Atlas ½Äµµ¿Í À§´ëÀå ³»½Ã°æ ¾ÆÆ²¶ó½º, À§Áúȯ ³»½Ã°æ ¾ÆÆ²¶ó½º

10. ¾î¼­¿Í °³¿øÀº óÀ½ÀÌÁö? Á¤¼º¿õ ¿øÀå, ¼­¿ïW³»°ú ¼­¿ïÁ¡ (´ÚÅͺô)

© ÀÏ¿ø³»½Ã°æ±³½Ç ¹Ù¸¥³»½Ã°æ¿¬±¸¼Ò ÀÌÁØÇà. EndoTODAY Endoscopy Learning Center. Lee Jun Haeng.